Quality control for
Basic parameters - individual exposures
| Exp-no | Date | Seeing | Airmass |
|---|---|---|---|
| 1 | Dec. 23, 2014, 12:50 a.m. | 0.827 | 1.051 |
| 2 | Dec. 23, 2014, 1:07 a.m. | 0.732 | 1.031 |
| 3 | Dec. 23, 2014, 1:24 a.m. | 0.767 | 1.017 |
| 4 | Dec. 23, 2014, 1:41 a.m. | 0.879 | 1.007 |
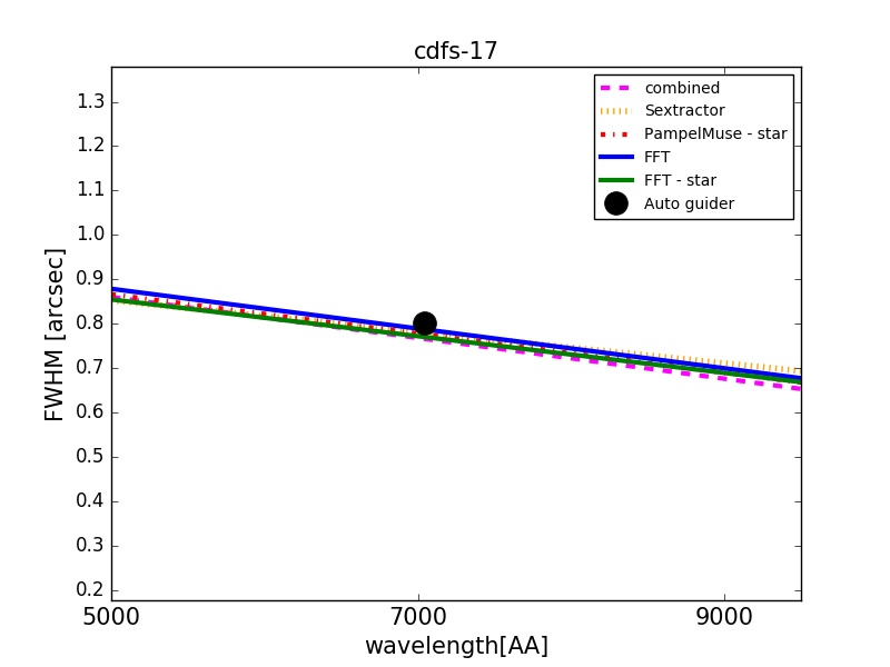
PSF
PSF values, Gaussian fit
| p0 | 0.78 |
| p1 | -0.00003534 |
| Method | SExtractor |
Gauss
Moffat
Noise characteristics
Click here to download noise-values as FITS file.
Old effective noise
Effective noise
Effective noise / pipeline
Flux limit
This was applied for the LSDCat runs for the first 24 cdfs fields. Click here to download effective noise as FITS file.
Sky brightness
Sky spectrum and sky brightness
Numerical values
| Blue, 5000-5500 | 10379.0 [10^(-20)erg/s/cm^2/Å] |
| Red, 7750-8000 | 16214.0 [10^(-20)erg/s/cm^2/Å] |
| Red, 8100-8250 | 2394.0 [10^(-20)erg/s/cm^2/Å] |
WCS offsets
Exposure map
WCS offset w.r.t HST
HST vs MUSE images
Filter 435w
Filter 606w
Filter 775w
Filter 814w